SAP Signavio for Academia

Empowering education and research in Business Process Management

Unlock Industry-Grade BPM Capabilities—For Free

Attention Students and Faculty: Unlock free access to the latest SAP training courses & certification with SAP Learning Hub, Student Edition. This exclusive offer includes:
  • Two free attempts at SAP Certification exams
  • Access to expert-led live sessions
  • Use of cloud-based training systems
  • Full learning journey catalog across learning.sap.com
Additionally, successfully register to achieve SAP Signavio certification and attend all expert-led live sessions on SAP Signavio at no cost. Elevate your skills and stay competitive in the job market. Register now and commence your professional development journey. Where to Register

The SAP Signavio Process Transformation Suite – Academic Edition provides students, lecturers, and researchers with free access to powerful business process management capabilities used by leading global organizations.

Model business processes

using BPMN 2.0 in an intuitive graphical editor

Simulate process execution

to test scenarios and identify improvements

Use QuickModel

to sketch processes through structured tables

Manage reusable content

with the integrated process dictionary

Collaborate and share

process workspaces in teams or classrooms

Track changes and compare models

with versioning features

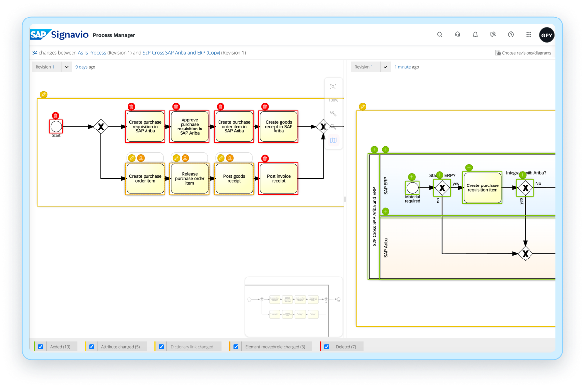
Compare diagrams

and check differences between models side-by-side

Visualize Attributes

such as cost and time, enhancing model insights

SAP Signavio's Academic Edition

Free for 6 months
with auto-renewal using a valid academic email
Designed for
non-commercial teaching and research only
Ready to use
no installation required

SAP Signavio Process Transformation Suite, academic edition

Model with BPMN 2.0
QuickModel: From Table to Process
Simulate and Analyze
Dictionary and Reusability
Compare Process Diagrams
Visualize Attributes

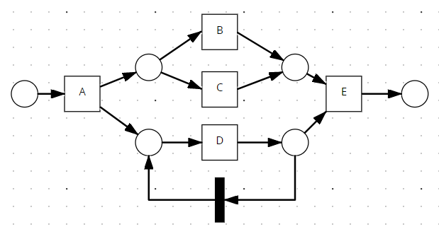
Model with BPMN 2.0

Use the industry-standard Business Process Model and Notation (BPMN 2.0) to document and design processes in a clean, visual format. Include lanes, roles, tasks, events, and gateways to make your models executable and easy to interpret.

Designed for Academic Use

For Students

  • Hands-on experience with enterprise-grade process modeling tools
  • Ideal for coursework, theses, and group projects
  • Learn practical skills aligned with industry best practices

For Lecturers

  • Set up collaborative modeling workspaces
  • Invite and manage students by email
  • Evaluate models and track progress in real time

License Terms

  • Free for 6 months (auto-renewable with a valid academic institution email)
  • Available to students, faculty, and researchers from accredited universities
  • Use permitted for educational and research purposes only—not for commercial use

How to Get Started

  1. Go to the SAP Signavio academic registration page
  2. Sign up with your academic email address (e.g., @tum.de)
  3. Verify your email and receive access instantly
  4. Start using the process management capabilities provided in the academic edition

Research at SAP Signavio

As a former spin-off from Hasso Plattner Institute at the University of Potsdam, SAP Signavio has its roots in academia. We are committed to honoring these origins and are engaging in a continuous research-oriented dialogue with academic communities around business process management, computer science, and artificial intelligence in order to jointly ideate and innovate.

Student projects and theses

We love to be involved in student projects that combine theory and practice in collaborations between universities and industry and regularly jointly supervise Bachelor and Master theses with our academic partners. In the latter case, students will be formally employed by SAP.

Open data and data access

Visiting Researcher Program

Are you an academic researcher interested in working with us?

FAQ

Who can register?

Any member of an academic institution can register for free for our comprehensive process transformation offering. Whether you are a student, lecturer, or research affiliate of an accredited university, start process modeling and simulation with SAP Signavio solutions today!

For how long can I use the tool?

Registration will grant you access to SAP Signavio solutions for an initial six months, which may be extended as long as you are part of an academic institution (with a valid institutional e-mail address).

Can I (as a lecturer) evaluate my students’ progress with the help of the tool?

Yes, it is possible to invite students to your work space in order to check their progress and evaluate their models. You can find out more about user management in the official SAP Signavio documentation.

I can't access my work space anymore. What happened?

After six months of inactivity, your student license expires temporarily until you reactivate it. To regain access to your work space, please contact support@signavio.com.

What capabilities within SAP Signavio Process Transformation Suite can I use with my academic work space?

The academic edition of the suite currently includes the graphical editor, QuickModel, comparison, and simulation capabilities. In addition, dictionary items and roles can be created and integrated into the diagrams (limited collaboration hub functionality).

What is part of the academic edition of SAP Signavio Process Transformation Suite?

The academic edition offers numerous capabilities for process model creation, modeling, version control, and simulation. Check out our overview page (LINK) to learn more.

Are there additional functionalities planned for the future?

The short answer is yes! Stay tuned for new features that we plan to add to make analyzing and optimizing your processes even easier. For all other inquiries, you may reach us at signavio.academics@sap.com.